量熱儀常見問題及維護方法
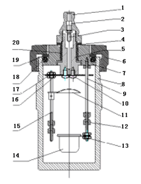
氧彈彈頭的拆卸方法: 1 、拆下電極桿。
更換氧彈密封圈方法: 氧彈有大中小三個密封圈,分別是:51.3×3.5mm,20×2.4mm,5×1.9mm 。
在氧彈充氧操作過程中,應注意問題: (1)首先應檢查氧氣壓力表是否完好、靈敏,指示的壓力是否正確。 (2)在氧彈充氧時,使壓力緩慢上升,直至所規定的壓力后再維持30—60S。 (3)在使用氧氣時不得接觸油脂。 (4)氧彈充氧應按規定壓力進行,充氧的壓力為3.0Mpa左右,充氧壓力不得偏低或過高。 充氧頭放氣閥孔口處漏氣: 1.密封塊上密封圈占有污物或密封圈老化,清除污物或更換密封圈。 氧彈蓋白色絕緣套處漏氣 絕緣套表面占有污物或老化破損,清除污物或更換絕緣套。 氧彈蓋處漏氣 彈頭密封圈處沾有污物或密封圈老化,清除污物或更換密封圈。 氧彈內氣體放不出 1.放氣閥內頂針短,接觸不到氧彈內的放氣閥,可用小鐵棍代替放氣閥,頂住氧彈內的放氣閥放氣。 氧氣減壓器: 1.表頭漏氣:表現為打開氧氣瓶時高壓表頭不起壓或者調節減壓器時,低壓表頭不起壓,當能聽到嗤嗤的漏氣聲。如果出現上述情況,請退回廠家或經銷商處維修,也可以自己買表頭更換(一定要氧氣表頭或者此表頭禁油)。更換時一定要擰緊。如果 6MPA 的氧氣表頭買不到,也可以用 4MPA 的氧氣表頭代替)
氧氣減壓器左邊的表是顯示充氧的壓力,一般在2.8-3Mpa之間,同充氧儀中的表功能相同; 測試結果不穩或超差: 1.環境溫度不符合測試要求,室溫超過35℃做樣不準。 點火失敗的故障分析及處理方法: 首先測試手動點火,看看是否可以點著,將點火絲一端接在量熱儀大蓋的點火電極上,另外一端插到大蓋密封圈中,然后,按下控制器面板中點火按鈕,確定,觀察點火絲是否被點著。下圖為手動點火連接示意圖:
如果手動點火未燒斷點火絲,則點火電源線短路或斷線,儀器的點火電路損壞需要更換維修線路板。 如果氧彈兩電極連接短路,容易燒毀變壓器(如下圖)氧彈也會點不著火,請調整氧彈電極;
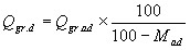
手動點火可以燒斷點火絲,則檢查以下問題: 1、檢查試樣是否已經燒完,如果已經燒完,通常稱為假失敗,其原因有: 1.攪拌效率低或不攪拌,檢查攪拌系統。 2、如點火絲已燒斷,而燃燒皿內有未燃盡煤樣,其原因有: 1.點火絲離試樣太遠。 1.點火電極桿端口或氧彈蓋表面有氧化層,須用砂紙打磨。 量熱儀實驗時間過長的原因及解決辦法 量熱儀實驗時間長(超過20分鐘) 原因: 易飛濺的試樣實驗方法: 1.用已知熱值和質量的擦鏡紙將試樣包好再測試; 不能完全燃燒的試樣: 1.提高充氧壓力至3.2Map; 每天試驗結束后應經常對量熱儀進行下述檢查和維護,可使量熱儀經常保持良好的工作狀態而且能延長使用壽命 1.氧彈:除每次試驗后對氧彈進行清洗和干燥外,對以下幾點也應該注意和檢查: (1)氧彈只能用手擰動,當手感到有阻力即應停止,切忌用工具硬擰,每天試驗完畢后,應進行一次清洗。 (2)彈帽和閥座,用完后應沖洗干凈并擦干。 (3)彈杯沖洗干凈,擦洗螺紋,并檢查彈杯上是否有機械損傷,注意不許將彈杯倒置。 (4)檢查密封圈是否磨損和燃燒時的損傷,如密封不嚴有漏氣現象,則應更換 . (5)檢查絕緣墊和絕緣套是否良好,有無破損,可定期作絕緣性能檢查。 (6) 定期對氧彈進行20.0Mpa水壓試驗,每次水壓試驗后,氧彈的使用時間不得超過二年(或不得超過5000次試驗)。 2.量熱筒: (1) 嚴禁將異物或雜質帶入內桶,以免污染水質和堵塞管道; (2) 實驗完畢,應把量熱儀大蓋打開,以免腐蝕儀器部件; 3.試驗用水: 加水步驟: 將蒸餾水或純凈水注入外桶,當外桶水滿時溢水口流出水。 放水步驟: 量熱儀經過長期使用后,桶內的水將會變臟,此時應將量熱儀桶中的水放出來,對其進行換水。擰開放水口的帽蓋后,將排水橡皮管擰進放水口當中,當水放完不再有水流出時,即可注入新的蒸餾水。建議一個季度或者半年換水一次。 4.氣:試驗用的氧氣純度≥99.5%,不得用電解氧,因其中含有氫氣。鋼瓶剩余壓力要求4MPa以上。減壓閥壓力要求2.8MPa -3.0MPa,不得超過3.2MPa,充氧時間不少于15S(從減壓閥的壓力表指針到3MPa開始計時)。 5,充氧儀: (1) 使用氧氣符合 GB213-96 要求,禁止使用電解氧。氧氣瓶應擺放在符合規程的地點; (2) 充氧儀要放在平穩的工作臺面上; (3) 充氧儀(包括充氧導管、減壓閥)嚴禁與各種油脂接觸; (4) 充氧儀上的氧氣導管要避免彎折、扭曲 ; (5) 充氧儀周圍嚴禁有明火存在; (6) 如氧氣瓶的氧壓低于4MPa ,應更換新氧氣。如氧彈中充氧壓力超過3MPa ,則應將氧彈中的氧氣放出,重裝氧彈,重新充氧。 為什么規定每年對量熱儀氧彈做不低于 20MPA 的水壓試驗? 量熱儀的工作原理將一克煤炭放到沖過氧氣(助燃)氧彈中燃燒,它所產生的熱量通過量熱儀中的氧彈向內桶的水中導熱,通過方箱上蓋的攪拌葉將其攪拌均勻后,;量熱儀內筒溫度探頭準確測量氧彈中一克煤炭所釋放的能量,即熱量,表示單位為焦耳 J 或卡 KA ,二者換算單位為;一卡等于 4.1816 焦耳,焦耳為國標單位,日常工作與生活中通常說卡而很少有人說焦耳。 量熱儀環境溫度的要求 1、實驗室應設在一單獨房間內,朝北,以避免陽光照射,否則,量熱儀應放置在不受陽光直射的地方。 2、室內應盡量保持穩定,每次測定過程室溫變化不應超過1K,通常室溫以15~30℃范圍為宜,相對濕度≤80%。 3、室內應無強烈的空氣對流,因此不應有強烈的熱源和風扇等,量熱儀試驗過程中應避免開啟門窗,避免室內人員過多。 若實驗室已安裝空調,則避免空調運行時形成的氣流直接吹向量熱儀。建議用戶連續24小時開啟空調或不開空調。 4、備有合適的工作臺面(水泥臺,因為試驗過程中儀器不能晃動)以便放置儀器。 5、電源:AC220V±10﹪,并有良好的地線。 6、消耗品,氧氣的純度在99.5%以上,不可使用點解氧氣;苯甲酸做為標定使用的基本物質,要使用國家標準物質研究中心標定的苯甲酸;實驗中使用蒸餾水,切不可使用普通自來水,以免出現點火失敗的現象。 7、氧彈,充氧的壓力為3.0Mpa。每次充氧后要將氧彈放置于水中檢查其是否漏氣,如有漏氣要及時更換密封圈。同時每2年要對氧彈進行20.0MPA的水壓實驗,使用過程中不要使用工具打開氧彈以免破壞。 8、坩堝,新坩堝在使用前應該進行煅燒。實驗完成后。將坩堝清洗干凈,然后烘干,冷卻到室溫后再次使用。 量熱儀標定與反標定 量熱儀標定熱容量選用苯甲酸原因:
1 、提取方法簡單,易獲得穩定的晶體結構,純度高性能穩定; 量熱儀標定 以下量熱儀標定與反標定操作以ZNLRY—2005型智能漢字量熱儀為例: 一克煤炭燃燒后其熱值傳到量熱儀內筒溫度探頭的過程中,其傳導途徑中的氧彈,內桶,水,等多種因素會產生熱消耗,而這一系列熱消耗會給量熱儀測量結果帶來較大的誤差,所以,我們要求出在某一恒定水溫下這些熱消耗的值,量熱儀表示單位為 E,A,K, 輸入到量熱儀中進行一個溫度補償才行,這就是量熱儀做標定的目的。 有一點還需特別注意,即不同室溫會給外筒水溫帶來不同變化,而不同水溫下的氧彈,內桶,等多種因素所產生的熱消耗也是不同的,所以,看似較寬松的標定環境溫度實際是非常嚴格的,比方說,做標定,任意選擇一個室溫都可以,首先保證外筒的水是滿的,而且是恒定24小時以上與室溫保持恒定即可,假設今天室溫是 32度,單求出準確的標定值(即熱消耗值 E , A , K )輸入到量熱儀中,再反標定確定量熱儀達到國標要求后,量熱儀即調試完成,那么,標定所求出的熱消耗值 E , A , K 是室溫是 32 度熱消耗值,如果,環境溫度進而導致外同水溫產生了變化,在室溫是 32 度環境溫度下求出熱消耗值也將產生誤差,環境溫度導致外筒水溫產生的變化越大,結果誤差也就愈大,一般環境溫度變化不超過三度作出的結果較好,但是季節性緩慢的室溫變化,室內如空調熱源導致的瞬間室度波動即便一度也不允許。 一,首先將苯甲酸的熱值看清楚,比如說它標注的是 26470J ,按一下儀器的“設定” 鍵進入量熱儀設定界面,會看到第一項“系統”中有 E,A,K,Q 四個參數,前面的 E,A,K, 是原始參數保持原樣不用動它,移動光標鍵只需將 Q 改成 26470 按一下“確認”鍵存入即可,然后再將“煤炭”“生料”項內的所有參數修改成 0.000 分別按“確認”鍵存入即可,因為,現在要做的是標定,標定與反標定都是用苯甲酸,苯甲酸內是不含硫氫水的,所以,它們都應修正為 0.000 ,其它,點火熱 150J 與包紙熱 0.000 保持不變,至此,“設定”界面內所有參數已全部輸入完畢,再按一下“確認”鍵退出量熱儀“設定”界面。 二,按量熱儀“標定”鍵,包紙重輸入 0.000 ,如果本身就是 0.000 直接按一下“確認”鍵即可,再輸入剛稱量過放入氧彈內苯甲酸的重量即樣重,稱量時一定要注意,稱量精度要準確到小數點后四位,比如說 0.9998 ,誤差范圍為萬分之二即 0.9997-0.9999 ,稱量范圍 0.9-1.1 克之間都能用;按“確認”鍵即可,至此你的工作已全部做完,剩下的就是等待量熱儀的打印結果了。 標定的打印結果很簡單,即 E,A,K, 三個英文數字,就是前面提到我們要求出的當前室溫及水溫下的熱消耗值,要注意的是,在你平時做煤樣或反標定時(用的是“測量”鍵),點火時間是 5 分鐘,而做標定時你按的是 “標定”鍵,點火時間是 15 分鐘,不要認為是量熱儀壞了,因為,標定目的是為校正量熱儀求出準確熱消耗值,攪拌時間要長些內筒水溫才會非常穩定。 一個標定結果是沒有對比的,所以,在至少要做兩個以上的標定才行,一般二至三個標定就可找出滿意結果,將兩個以上標定結果中的 E 做對比,比如說第一個與第三個標定結果中的 E 相差不超過 40J ,就將這兩個結果中的 E 相加除以 2 ,即求出平均值,再將這兩個結果中的 A, 與 K 平均值求出。再按量熱儀“設定”鍵,進入設定界面,在第一項 “系統”中有 E,A,K,Q 四個參數,將你剛才求出的 E,A,K, 平均值分別輸入,按“ 確認”鍵存入即可,其他一概不動,然后,再按一下“確認”鍵退出“設定”界面,至此,量熱儀標定工作全部完成。 量熱儀反標定 簡稱反標,我們知道,對于量熱儀來講,苯甲酸就相當于校正量熱儀的砝碼,苯甲酸瓶子上面標的非常清楚是已知的熱值,也是國標指定的標準,比如說上面標的是 26470 焦耳,無論何時何地,當我懷疑量熱儀出現偏差時,我隨時可以燒一克左右的苯甲酸來看看量熱儀所做出的結果與苯甲酸誤差值有多少?從而決定是否需要重新標定量熱儀,反標定并不是要求你什么時間可以做什么時間不可以做,而是你隨時可以做。 當然,上面我們剛做過標定且求出熱消耗平均值輸入到量熱儀內部,但是,并不能保證你所求出的熱消耗值就是可以用的,因為,你并不知道你所求出的值給量熱儀作出補償后,是否不超出國標允許的誤差范圍 120J ,所以,仍用反標定手段來對你的標定工作是否滿足國標要求做出一個的定性。 量熱儀反標具體操作如下: 首先按一下量熱儀的“設定”鍵進入設定界面,第一項“系統”中有 E,A,K,Q 四個參數,是你剛做完標定輸入過的數據,不要動它,直接移動光標鍵將“煤炭”“生料”項內的所有參數修改成 0.000 分別按“確認”鍵存入即可(其實,前面剛才做標定時你已改成 0.0000 了,你也不用動,苯甲酸內是不含硫氫水的,因為,平時你做煤炭時肯定要輸入這些數據,其任何一間隙中你若想做反標定就要將煤炭中的硫氫水數據全部消掉該做 0.000 才行),量熱儀“設定”界面內所有參數已全部輸入完畢后,再按一下 “確認” 鍵退出“設定”界面。 再按一下量熱儀“測量”鍵,注意了,反標定與平時做煤炭一樣,都是用“測量”鍵,與煤炭的區別是“ 設定”鍵界面內的硫氫水是0.000 ,然后按”1“選擇煤炭項,輸入編號,包紙重 0.000,(不愿改動編號直接按確認鍵就過了),稱重苯甲酸樣重,至此,全部輸入完畢只等打印結果即可...... 然后,將打印結果中的彈筒發熱量與苯甲酸對比,兩者誤差不超過120J即達國標,量熱儀可以正常使用。如果誤差過大需重新標定。 標定時應注意的事項: 1、標定時使用的苯甲酸應是同一批次(熱值)的。國家一類以上的標準物質。 幾種常用的點火(引火)物在點火時放出的熱量 鐵絲:6700J/K 鎳絡絲:1400J/g 銅絲:2500J/g 棉線:17500J/g 若需用擦鏡紙包裹試樣時,在使用之前先測出擦鏡紙的燃燒熱。 量熱儀相關計算公式: 熱容量計算公式: 彈筒發熱量計算公式: 空干基高位熱值計算公式: 收到基低位熱值計算公式: 空干基高位熱值換算成干基高位熱值計算公式: 硝酸生成熱計算公式: 冷卻校正值計算公式(瑞方公) : 彈筒硫計算公式:
量熱儀的各種數據含義 E—熱量計的熱容量,單位為焦耳每開爾文(J/K); 量熱儀安裝與準備 量熱儀應放置在平穩、牢固的平臺上??拷繜醿x安放位置應設有符合要求的電源插座。 1.感量0.01㎎的分析天平。 2.工業天平:載量4~5㎏,感量1g。 3.氧氣瓶,瓶內氧氣及壓力應符合量熱儀國標要求。 4.足夠量的(不少于 10L )蒸餾水。 5.用于存放量熱儀試樣的干燥器。 6. 一個能量取 10ml 蒸餾水的量杯和量筒,用來給量熱儀中的氧彈加水。 7. 其它工具:扳手、剪刀、鉗子、鑷子、角匙等。 8. 點火絲(鎳鉻絲)、純棉線和用于包裹試樣的擦鏡紙(綿紙)等。 9. 無法聯機,檢查通信線和串口卡。 搬運于貯存的規則 搬運和貯存請按以下規定進行: 1.用戶在搬運本產品時,應采用抬運或用周轉車運輸的方式。 2.將本產品搬運至異地裝置時,不允許倒置、摔磕,注意保護產品。 3.貯存環境條件: 溫度范圍: 0 ℃ ~40 ℃; 相對濕度:≤ 85 % 。 貯存環境不應有強蝕氣體、強電磁設備和強磁場,且通風良好詳細介紹可觀看: 量熱儀安裝說明(視頻) 量熱儀相關鏈接:量熱儀技術指標發熱量常見問題 |
![]() |
![]() |
|||